three Frames of Reference prerequisite to deriving the physical constants
In MQ Form
An MQ description of the fine structure constant - written in its classical form - describes the final form of its initial Target Frame definition after accounting for the metric differential between frames the effects of length contraction associated with discrete measure.
Inputs
- θsi can be measured as the polarization angle of quantum entangled X-rays at the degenerate frequency of a maximal Bell state. As an angle θsi=3.26239 rad ± 2 μrad; as a momentum θsi=3.26239030392(48) kg m s-1 and with respect to the Target Frame, θsi has no units.
Terms
- lf, mf and tf are the fundamental measures, more precise expressions for Planck’s units – length, mass, and time – that consider the effects of length contraction associated with discrete measure.
- QL is the fractional portion of a count of lf when engaging in a more precise calculation.
- QLnLr, also known as the Informativity differential describes the length contraction associated with discrete measure.
Calculations
Experimental Support
[20] Sych, Denis , A Complete Basis of Generalized Bell States, New Journal of Physics, 11 (1): 013006 (Jan. 7, 2009), doi:10.1088/1367-2630/11/1/013006.
[21] H. Stapp, Bell's Theorem and World Process, Il Nuovo Cimento B. 29 (2): 270–276 (1975), doi:10.1007/BF02728310. S2CID 117358907.
[22] Po-Ning Chen, Mu-Tao Wang, Ye-Kai Wang, Shing-Tung Yau, Conserved quantities in general relativity -- the view from null infinity (Apr. 8, 2022), doi:10.48550/arXiv.2204.04010.
[23] Heisenberg, W., Über den anschaulichen Inhalt der quantentheoretischen Kinematik und Mechanik, Zeitschrift für Physik, 43 (3–4): 172–198 (1927), Bibcode:1927ZPhy.43.172H, doi:10.1007/BF01397280, S2CID 122763326.
Discussion
Over the past 100 years frames of reference have become central to precisely resolving the measure of phenomena. Two frames are often recognized, that associated with the observer and that with the phenomenon. A third frame is implicit, the local frame of the observer where reference measures are established. The relation of measures between these frames are anchored in relation to the speed of light.
Measurement Quantization (MQ) explicitly introduces the third frame and uses a single nomenclature for all three.
Before we begin, we briefly review what MQ is. MQ is a nomenclature applied to existing classical expressions. Terms that make up existing classical expressions are broken down into their fundamental measures - lf, mf and tf - and multiplied by counts of those measures - nL, nM and nT. For example, when applying an MQ nomenclature to an example expression for Heisenberg's uncertainty principle, specifically at the Planck scale bound, we find that all the measure terms cancel out leaving only the counts. With this observation along with the expressions for the speed of light and escape velicity and the MQ description of gravitational curvature, we are able to resolve the values of the count terms associated with the fundamental measures. We are also able to resolve the properties of measure relative to the Internal Frame: its discreteness and countability.
With respect to the inertial frame of the observer, the traditional two frame approach is all that is needed to describe phenomena. But, when resolving expressions that describe universal expansion, the age of the universe, its diameter and more complex phenomena, for instance properties of the Cosmic Microwave Background, we find that the frame of the universe as a system of reference is physically significant. We will consider Hubble's constant as just one example, a measure of expansion in units of km s-1 Mpc-1.
Notably, the reference distance, the megaparsec, is somewhat arbitrary. Moreover, as an arbitrary unit of measure, it is unconstrained with respect to the system we are describing (the universe). Lacking a fixed physical relation to the universe mitigates our ability to recognize important relationships.
To correct this practice, we define the rate of expansion with respect to the universe such that HU=2θsi.
Several properties of our universe are then more apparent. For one, we discover that the rate of expansion is constant. We also find that the rate of expansion is correlated to the three measures: lfmf=2θsitf. And we find that θsi is the only constant necessary to resolve each of the mass/energy distributions also described by ΛCDM. We also find that θsi describes gravitational curvature with quantum precision throughout the entire measurement domain. That is to say, physical support for θsi as a physically significant property of our universe affects nearly every physical discipline from gravity, optics, quantum mechanics to cosmology.
To better describe phenomena, we have enhanced the existing nomenclature with additional terminology. For one, the upper count relation demonstrated by the phenomenon of light, we call length frequency, the upper count bound of fundamental units of length with respect to a count of fundamental units of time lf/tf. Equally important is mass frequency, the upper count of fundamental units of mass per fundamental unit of elapsed time mf/tf. And finally there is the length-to-mass frequency, lf/mf. Each of these ratios are physically significant, for example mass frequency is essential to resolving an expression for the orbital velocity of stars in a galaxy.
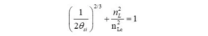
Finally, we will address the expansion parameter 2θsi briefly and its role with respect to the System Frame. We can, for instance reformulate the fundamental expression into a form known as a unity expression(2,Eq. 102). In this form, we can visualize the expansion of the universe as a length count change assoicated with universal expansion nL2 relative to the upper count bound associated with the speed of light nLc2. You may also recognize this as the speed parameter v2/c2 common in many relativity expressions.
You will notice that the expansion parameter θsi appears nondimensionalized in the above expression (i.e. carries no units). Up to this point θsi has carried the units of momentum. That is the applicable dimension with respect to most expressions. Such expressions describe phenomena relative to the Internal Frame of the universe.
But, for phenomena that are defined with respect to the System Frame of the universe as is the case in the above unity expression, θsi has no units. That is to say, it is dimensionless. Recognition of this trait is important in MQ and central to the concept of references. Specifically, the Internal Frame expressions we use to describe nearly all interactions between an observer and a phenomenon are dimensional counts of the references. In contrast, the universe has no external reference and as such phenomena defined relative to the System Frame are non-dimensional and without a reference, also non-discrete.
Finally, we bring to your attention that the physical constants are best described as the difference between the System and Internal frames. Gravitational curvature offers one example of a mathematical approach to resolving this difference. The fundamental constant θsi (which is resolved as a radian measure with respect to the measure of entangled photons), the gravitaitonal constant, Planck's reduced constant and HU are all examples of values resolved as a function of this difference.
In that θsi is central to frames of reference we lastly note that the value can be measured with respect to the polarization of X-rays in specific Bell states and at their degenerate frequency. Those experiments were carried out and published by Shwartz and Harris in their 2011 paper, 'Polarization Entangled Photons at X-Ray Energies', the results matching the predictions of MQ to the same precision.
[17] S. Shwartz and S. E. Harris, Polarization Entangled Photons at X-Ray Energies, Phys. Rev. Lett. 106, 080501 (2011), arXiv: 1012.3499, doi:10.1103/PhysRevLett.106.080501.
[18] S. Shwartz, R. N. Coffee, J. M. Feldkamp, et. al., X-ray Parametric Down-Conversion in the Langevin Regime, Physical Review Letters, 109, 013602 (July 6, 2012), doi: 10.1103/PhysRevLett.109.013602.
[19] T. E. Glover et al., X-ray and optical wave mixing, Nature, 488, 7413, 603–608 (2012), doi:10.1038/nature11340.
Notably, we have used the Informativity differential distance adjusted value for the reduced Planck constant in the last of these expressions, which is important when describing a macroscopic phenomenon with a quantum measured value such as ħ. Alternately, as described in the table above, we can also resolve θsi as a function of the macroscopically measured value G without needing to account for the Informativity differential. Further reading on the importance of the Informativity differential and the physical support for this effect are provided in the same named discussion as well as that regarding the fundamental measures, among several other notable experiments where accounting for this effect resolves calculation differences with up to thirteen digits of correspondence.
Quantum Inflation, Transition to Expansion, CMB Power Spectrum
