Effective Mass of a Galaxy,
Star Velocity and their Relation
In MQ Form
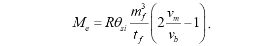
With respect to the upper count bound for mass frequency, the effective mass is resolved. It is this mass which we use to resolve the gravitational pull on a star.
Inputs
- vm is the observed or modelled velocity. Together vm and vb constitute the beta of a typical relativistic expression. When vm is incorrect, the two values diverge.
Terms
- Me is the effective mass which represents the gravitational mass measurable by an observer.
- Mb is the bound mass which represents the upper count bound of mf that can be measured per tf in a homogenous mass distribution.
- vb is the bound velocity which represents that velocity when mass events exceeds the upper count bound due to measurement quantization.
- θsi can be measured as the polarization angle of quantum entangled X-rays at the degenerate frequency of a maximal Bell state. As an angle θsi=3.26239 rad ± 2 μrad; as a momentum θsi=3.26239030392(48) kg m s-1 and with respect to the Target Frame, θsi has no units. The relation of angle and mass is mathematically demonstrated, as well, by No-Ping Chen, et. al.
- c is the speed of light which may also be written as c=nLlf/nTtf=299,792,458 m/s such that nL=nT=1 is physically significant.
- lf, mf and tf are the fundamental measures, more precise expressions for Planck’s units – length, mass, and time – that consider the effects of length contraction associated with discrete measure.
- G is the gravitational constant, 6.6740779428(56) 10-11m3kg-1s-2 such that its value considers the effects of length contraction associated with discrete measure at the upper count limit. Italicized G identifies a measure not at the limit (e.g., G=6.6738448362(53) 10-11m3kg-1s-2 at the blackbody demarcation).
- nLr describes the count of lf representative of the position of an observable with respect to the frame of a center of mass.
- nLc describes the count of lf representative of a change in position of light measured with respect to the observer’s frame of reference.
Calculations
Experimental Support
McGaugh, S.S.: A Precise Milky Way Rotation Curve Model for an Accurate Galactocentric Distance (August 2018) Res. Notes AAS, 2, 156, http://dx.doi.org/10.3847/2515-5172/aadd4b.
McGaugh, S.S.: Milky Way Mass Models and MOND (2008) ApJ, 683, 137-148, http://dx.doi.org/10.1086/589148.
Discussion
Measurement Quantization (MQ) offers a parameter free approach to describing galactic orbital dynamics as a behavior constrained by bounds to measure. Expanding on MQ solutions to discrete gravity, dark energy, quantum entanglement, and a handful of constants such as the gravitational constant and Planck's constant, we find that the orbital motion of stars still follows Newton's expression, but the mass of a system is constrained by the count nM of mf that can be measured per increment of tf. Specifically, that count is described by the Planck frequency. Importantly, this phenomenon must also be described relative to the non-discrete Target Frame of the universe, requiring a frame transform equal to the radial rate of expansion θsi.
But, before discussing effective mass, we will briefly review the MQ approach to classical theory.
MQ is a physically significant nomenclature that separates the fundamental measures lf, mf and tf from counts of those measures nL, nM and nT. Using an MQ description of discrete gravity along with discrete expressions for Heisenberg's uncertainty principle, escape velocity and the speed of light, we resolve three properties of measure: discreteness, countability and in reference to three frames of reference.
Calculation of effective mass is a function of bounds to measure relative to other measures. We are very familiar with one of those bounds. Often described with respect to the speed-of-light, what we call in MQ - the length frequency - is the lower count bound of length per count of time (i.e., lf / tf). While we are accustom to referencing the measures, this is a frequency. References don't change in magnitude; their counts do (i.e., (nL / nT)=1).
Thus, the total mass of a galaxy can exceed the mass frequency bound in elapsed time but the gravitational pull of a galaxy is constrained to the effective mass per increment of time. In the graph above, the bound mass
is identified by the purple line. It does not take into account the effects of mass distribution within a galaxy. With the final expression - the red curve - we complete the description.
Any value below the bound mass Mb (purple) will exhibit a classical behavior. The result is a such that velocity appears to even out for all stars in excess of the quantization crossover. When mapped to describe star velocities we find a standard deviation of 1.394 km/s for stars out to 84,000 light-years from the Milky way core.
Finally, we note that the expression describing effective mass is approached is a constraining function. That is, you enter the modelled velocity to resolve the effective velocity. Naturally, it would be prefereable to have a function with source inputs of mass and distance v=(GM/r)1/2, but this data is not easily resolved. We recognize the physical correlation and proceed with the understanding that the output is not an equality to the source data. Rather, when the effective and modelled velocities do not match, the curves diverge indicating a description that is not physically significant.
Quantum Inflation, Transition to Expansion, CMB Power Spectrum
